Откриха втора екзопланета в системата TOI-1422
Европейски астрономи съобщиха за идентифицирането на втори чужд свят в планетарната система TOI-1422, разположен на около 500 светлинни години от нас. Новооткритата екзопланета, получила означението TOI-1422 c, е почти три пъти по-голяма и около 14 пъти по-масивна от Земята. Откритието е представено в научна статия, публикувана на 14 ноември в сървъра за предпечатни публикации arXiv.
TOI-1422, известна още като TIC 333473672, е звезда от спектрален тип G2V на разстояние приблизително 505 светлинни години от Земята. Смята се, че е на 4,6 милиарда години. По размер и маса силно напомня Слънцето и има ефективна температура около 5811 К.
TOI-1422 c официално е потвърдена като екзопланетаПредишни наблюдения на системата показваха, че тя приютява топла екзопланета с размерите на Нептун — TOI-1422 b, движеща се по почти кръгова орбита с период около 13 дни. Данните подсказваха и за съществуването на втора екзопланета с орбитален период около 29 дни.
Новото изследване, ръководено от Лука Напониело от Обсерваторията в Торино, потвърждава това предположение. Резултатите се основават на наблюдения от космическия телескоп TESS на НАСА и на измервания чрез радиална скорост (RV).
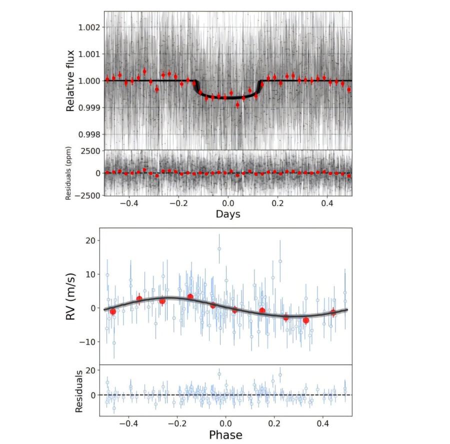
„Благодарение на два нови сектора от TESS (57 и 84), разширен набор от RV данни и нови методи за редукция и анализ, успяхме да потвърдим планетния кандидат TOI-1422 c,“ пишат авторите.
Нов суб-Нептун в „анти-подредена“ системаСпоред изследването екзопланетата TOI-1422 c обикаля своята звезда за 34,5 дни на разстояние около 0,2 астрономически единици. Така нейният орбитален период се оказва с няколко дни по-дълъг от първоначално оценения.
Събраните данни показват, че TOI-1422 c има радиус приблизително 2,61 земни радиуса и маса 14 земни маси, което дава плътност около 4,3 g/cm³. Равновесната ѝ температура е оценена на 628 К.
На тази база учените класифицират TOI-1422 c като суб-Нептун. Оказва се, че новопотвърдената екзопланета, макар и с около 20% по-малка от TOI-1422 b, е почти 50% по-масивна от вътрешната екзопланета.
„За разлика от често наблюдавания модел в многопланетни системи — където масата и радиусът на екзопланетите намаляват с увеличаване на орбиталния период (или поне плътността остава постоянна или намалява) — тази система показва обратното: външната екзопланета TOI-1422 c е по-масивна, но по-малка от вътрешната TOI-1422 b. Такива анти-подредени или ‘обърнати по маса/плътност’ архитектури се наблюдават рядко,“ обясняват изследователите.
Възможна трета екзопланетаАвторите добавят, че анализът на времената на транзит на TOI-1422 b разкрива значителни колебания (TTVs — вариации в транзитното време). Те отбелязват, че тези вариации не се причиняват от гравитационното влияние на TOI-1422 c и може да са резултат от друга, все още неизследвана екзопланета в системата. За да се потвърди тази хипотеза, са необходими допълнителни фотометрични наблюдения и измервания на радиалната скорост с изключително висока точност.
Източник: Phys.org













